Gámez Gómez, M., Fernández González, A., Muller, S., &

Losada-Berlanga, M. C. (2022).

Diferencias de las capacidades físico-coordinativas en niños de 6 a 12 años.

Journal of Physical Education and Human Movement, 4(1), 1-10.

Online ISSN:2659-5699;

DOI: 10.24310/JPEHMjpehmjpehm.v4i113391  

Diferencias de las capacidades físico-coordinativas

en niños de 6 a 12 años

Differences in physical-coordinative capacities in children from 6 to 12 years old

María Gámez Gómez1; Alejandro Fernández González 1; Samantha Muller 1; Mª del Carmen Losada-Berlanga2

1Facultad de ciencias de la Educación, Universidad de Málaga, España

2Instituto de Educación Secundaria “Arroyo de la Miel”, Benalmádena, Málaga, España

Detalles del artículo:

Número de palabras: 3.437; Tablas: 2; Figuras: 2; Referencias: 10

Recibido: septiembre 2021; Aceptado: junio 2022; Publicado: septiembre 2022

Conflicto de interés: El autor declara que no existen conflictos de interés.

Correspondencia del autor: María Gámez Gómez, gamezgomezmaria@gmail.com

Resumen

La práctica deportiva influye positivamente en la madurez física y coordinativa en la niñez. Se trata de un estudio descriptivo y su finalidad fue valorar las diferencias en las capacidades coordinativas, velocidad y flexibilidad, entre niños participantes en actividades extraescolares deportivas y un grupo control. Participaron 146 escolares entre 6 y 12 años (92 niños y 54 niñas), 68 que practicaban atletismo, 49 fútbol y 29 que no realizaban ninguna actividad extraescolar. Se aplicaron 3 test diferentes cuyo objetivo principal fue determinar las diferencias significativas en los niveles de coordinación viso-motriz y general (Test 3JS), velocidad-coordinación (Test shuttle run 4x10) y extensibilidad de la musculatura isquiotibial (Test Sit and Reach). Los datos se informan como media y desviación estándar. Se ha realizado un análisis descriptivo y análisis de varianza (ANOVA) para examinar las diferencias entre los tres grupos (atletismo, fútbol y grupo control). Los resultados de dicho análisis apuntan a la existencia de diferencias significativas entre los grupos que realizan deporte extraescolar respecto al grupo control. El grupo de fútbol es el que muestra mayor índice de coordinación y el que registra menores puntuaciones en la flexibilidad. El grupo de atletismo es el que muestra el mejor índice en flexibilidad y en la tarea 5 (Carrera de slalom, Coordinación dinámica general) del Test 3JS. El grupo control obtiene los resultados más bajos en los diferentes test con respecto a los escolares que realizaban deporte extraescolar, excepto en los niveles de flexibilidad, que son ligeramente mejores que el grupo de fútbol.

Palabras claves: Coordinación, velocidad, flexibilidad, atletismo, fútbol, sedentario.

Abstract

Sports practice has a positive influence on physical and coordination maturity in childhood. This is a descriptive study and its purpose was to assess the differences in coordination skills, speed and flexibility, between children participating in extracurricular sports activities and a control group. 146 schoolchildren between 6 and 12 years old (92 boys and 54 girls) participated, 68 who practiced athletics, 49 soccer and 29 who did not perform any extracurricular activity. Three different tests were applied whose main objective was to determine the significant differences in the levels of visual-motor and general coordination (Test 3JS), speed-coordination (Test shuttle run 4x10) and extensibility of the hamstring muscles (Test Sit and Reach). Data are reported as mean and standard deviation. A descriptive analysis and analysis of variance (ANOVA) have been performed to examine the differences between the three groups (athletics, football and control group). The results of this analysis point to the existence of significant differences between the groups that perform extracurricular sports with respect to the control group. The soccer group is the one that shows the highest coordination index and the one that registers the lowest scores in flexibility. The athletics group is the one that shows the best index in flexibility and in task 5 (Slalom race, General dynamic coordination) of the 3JS Test. The control group obtained the lowest results in the different tests with respect to the schoolchildren who participated in extracurricular sports, except in the levels of flexibility, which are slightly better than the soccer group.

Key words: Coordination, speed, flexibility, athletics, football, sedentary.

INTRODUCCIÓN

La motivación del estudio tuvo su origen en las observaciones personales de los investigadores, que detectaban limitaciones en las capacidades físicas y de coordinación entre algunos escolares que no realizaban deporte extraescolar. En este sentido, la finalidad de esta investigación fue la de valorar si existían diferencias significativas en la coordinación motriz, flexibilidad y velocidad en niños de 6-12 años que realizaban actividades extraescolares deportivas (fútbol, atletismo) y un grupo control que no la realizaban.

La primera capacidad evaluada mediante el Test 3JS es la coordinación motriz. Existen diversas taxonomías que la abordan dependiendo de factores como el segmento corporal utilizado, la complejidad de la tarea, tipo de población, motivación, aspectos cognitivos y psicológicos, etc. Entre las diferentes clasificaciones sobre los tipos de coordinación se encuentra la de Torres (2005):

Para la valoración de la velocidad de desplazamiento y agilidad-coordinación, se ha utilizado el “Shuttle run 4x10” (Ortega et al., 2011; Vicente-Rodríguez et al., 2011). Este Test ha sido recogido en la batería ALPHA-Fitness extendida (Ruíz et al., 2011), la cual fue desarrollada para proporcionar un conjunto de test de campo válidos, fiables, seguros y viables, para evaluar la condición física relacionada con la salud en niños y adolescentes, con el fin de ser usada de manera consensuada en el sistema de Salud Pública de los diferentes estados miembros de la Unión Europea.

Por último, mediante el “Sit and Reach Test” se ha evaluado flexibilidad de la zona lumbar, extensores de la cadera y músculos flexores de la rodilla (Castro-Piñero et al., 2009). La flexibilidad es definida por Turrado (2017) como la capacidad para curvar o doblarse. Por otro lado, Arregui y Martínez (2001) la definen como la capacidad física de amplitud de movimientos de una sola articulación o de una serie de articulaciones. Existen otros instrumentos de medida para determinar la flexibilidad isquiosural, como el test Toe-Touch (TT), Test back-saver sit-and-reach, y Test V sit-and-reach (López-Miñarro et al., 2010).

MATERIAL Y MÉTODOS

Participantes

La muestra está constituida por 146 escolares con edades comprendidas entre los 6 y 12 años (92 niños y 54 niñas). El tipo de muestreo fue por conveniencia y formado por 49 (3 niñas; 46 niños) del equipo de fútbol sala de la Universidad de Málaga, 68 (38 niñas; 30 niños) del grupo de atletismo de la Universidad de Málaga, y 29 alumnos (13 niñas; 16 niños) de un CEIP  de la localidad de Coín (Málaga). Todos los participantes eran físicamente activos y sin limitaciones físicas ni lesiones musculoesqueléticas que pudieran tener repercusión en los resultados del estudio. Los participantes fueron informados sobre los procedimientos a utilizar en la investigación.

Procedimiento

Para la realización del estudio se han realizado tres test para la valoración de las capacidades coordinativas, velocidad y flexibilidad. El orden de ejecución de los test en los diferentes grupos siempre era el mismo (1º Test de flexibilidad Sit and Reach; 2º Test de coordinación 3JS; 3º Test de velocidad shuttle run 4x10m).

Test de coordinación 3JS

El test de coordinación 3JS es un test compuesto por 7 tareas ejecutadas de forma consecutiva y sin descanso, cada tarea es diferente a la anterior habiendo 3 tareas de coordinación dinámica general y 4 de coordinación viso motriz (Cenizo et al., 2017).

Las tareas que se ejecutan en el test 3JS son las siguientes:

Test de velocidad y agilidad-coordinación shuttle run 4x10

Se trata de un test en el que se debe correr y girar a la máxima velocidad (4x10 m). Había dos líneas paralelas dibujadas en el suelo (con cintas) separadas por 10 metros de distancia. En la línea de salida se dispuso una esponja (B) y en la línea opuesta otras dos (A, C). Cuando se indicó la salida con el pitido de un silbato, el niño/a (sin esponja) corría lo más rápido posible a la otra línea y volvía a la línea de salida con la esponja (A), cruzando ambas líneas con los dos pies. La esponja se cambiaba por la esponja (B) en la línea de salida. Luego, tenía que ir corriendo lo más rápido posible a la línea opuesta, cambiaba la esponja (B) por la esponja (C) y volvía corriendo a la línea de salida. El tiempo requerido para completar la prueba se registró a la décima de segundo más cercana. Para realizar la prueba se utilizó un suelo antideslizante, 4 conos, un cronómetro y 3 esponjas.

Test de flexibilidad Sit and Reach

Los alumnos tenían que descalzarse, sentarse en el suelo en frente del cajón, rodillas completamente estiradas y brazos hacia delante sobre la regla del cajón Sit and Reach. Cuando el alumno llegaba a la máxima extensión de tronco, se anotaba el resultado. Se ejecutaba dos veces, con 30 segundos de diferencia entre ambas repeticiones y se anotaba el mejor resultado.

Como instrumento para la evaluación se utilizó un cajón Sit and Reach de 30’5 cm x 30’5 cm x 30’5 de ancho de alto y de largo.

Análisis Estadístico

Los datos se informan como media y desviación estándar. Se ha realizado un análisis descriptivo y análisis de varianza (ANOVA) para examinar las diferencias entre los tres grupos (atletismo, fútbol y grupo control). Posteriormente, el post-hoc con el ajuste de Bonferroni fue utilizado para comparaciones por pares. Todos los análisis estadísticos se realizaron utilizando la versión 25.0 de SPSS para Windows (IBM® SPSS® Statistics). El nivel de significación estadística se estableció en p <0,05.

RESULTADOS

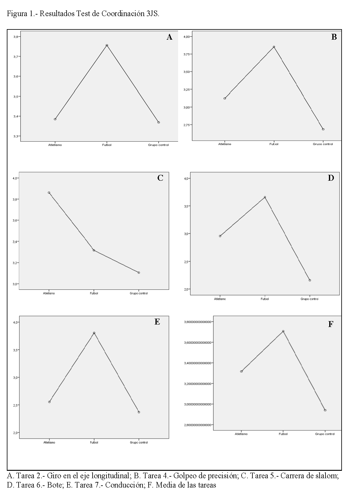
A continuación, se presentan los resultados obtenidos en este estudio, atendiendo a las diferencias entre los tres grupos (atletismo, fútbol y grupo control) con respecto a los test aplicados, Test de Coordinación 3JS (Tabla 1), Shuttle Run 4x10 (Tabla 2) y Sit and Reach (Tabla 3).

En la tabla nº 1 se puede observar las siguientes diferencias significativas:

Tabla 1. Resultados Test de Coordinación 3JS.

Tarea

Grupo

Comparación con otros grupos

Media

1.- Salto Vertical

Atletismo

Grupo control

0,199 ± 0,139

Fútbol

Atletismo

0,145 ± 0,106

Grupo control

0,344 ± 0,148

 2.- Giro en el eje longitudinal

Atletismo

Grupo control

0,016 ± 0,97

Fútbol

Atletismo

0,371 ± 0,150*

Grupo control

0,388 ± 0,209

 3.- Lanzamiento de precisión

Atletismo

Grupo control

0,245 ± 0,156

Fútbol

Atletismo

0,078 ± 0,120

Grupo control

0,322 ± 0,166

 4.- Golpeo de precisión

Atletismo

Grupo control

0,439 ± 0,150*

Fútbol

Atletismo

0,731 ± 0,115*

Grupo control

1,169 ± 0,159*

5.- Carrera de slalom

Atletismo

Fútbol

0,544 ± 0,096*

Grupo control

0,756 ± 0,126*

Fútbol

Grupo control

0,212 ± 0,134

6.- Bote

Atletismo

Grupo control

0,796 ± 0,222*

Fútbol

Atletismo

0,705 ± 0,170*

Grupo control

1,501 ± 0,237*

7.- Conducción

Atletismo

Grupo control

0,185 ± 0,196

Fútbol

Atletismo

1,251 ± 0,150*

Grupo control

1,436 ± 0,209*

8.- Media

Atletismo

Grupo control

0,377 ± 0,105*

Fútbol

Atletismo

0,391 ± 0,080*

Grupo control

0,767 ± 0,112*

*. La diferencia de medias es significativa en el nivel 0.05.

Forma, Polígono

Descripción generada automáticamente

En cuanto al Test Shuttle Run 4x10 y Sit and Reach, la tabla 2 nos muestra las medias y desviación típica obtenidas en cada uno de los grupos de estudio.

Tabla 2. Resultados de la media y desviación típica en los test Shuttle Run 4x10 y Sit and Reach

Test

Grupos

Media

Shuttle Run 4x10

Atletismo

14.05±1.96

Fútbol

13.49±1.89

Grupo control

17.13±2.07

 Sit and Reach

Atletismo

14,21± 7,11

Fútbol

10,57± 5,90

Grupo control

12,28± 6,63

En relación al Test Shuttle Run 4x10 (Figura 2A) se puede observar que los mejores resultados son los del grupo de fútbol (13.49±1.89), tras el grupo de atletismo (14.05±1.96) y el grupo control (17.13±2.07).

Con respecto al test Sit and Reach (Figura 2B), los mejores resultados son los obtenidos por el grupo de atletismo (14,21± 7,11), seguido del grupo control (12,28± 6,63) y el fútbol (10,57± 5,90).

Gráfico, Gráfico de líneas

Descripción generada automáticamente

DISCUSIÓN Y CONCLUSIONES

Test de coordinación 3JS: 

Estudios sobre la coordinación como el realizado por Cenizo-Benjumea et al. (2019) apuntan a que cuando se analizan los resultados entre los grupos de niñas y niños en las pruebas que componen el test 3JS, muestran diferencias significativas en sus puntuaciones, siendo mayores en el grupo de varones, excepto en las pruebas de salto en las que no existen diferencias significativas. En otra investigación como la llevada a cabo por Salas y Giraldo (2018) a jugadoras de fútbol, en la que realizaron el test de coordinación 3JS en dos momentos distintos (pre y post test) con un programa de intervención, se observó que el nivel de coordinación mejoró en cada una de las tareas realizadas en dicho test. En este sentido, la gran mayoría de los estudios concluyen que la coordinación motriz debe ser trabajada mediante actividades físico-deportivas desde edades tempranas.

En nuestros resultados del test de coordinación 3JS se han observado diferencias significativas entre los grupos que practicaban actividades extraescolares y el grupo control, teniendo mejores resultados los primeros. Entre los dos grupos que realizaban deporte extraescolar, el grupo de fútbol presentaba en general mejores resultados en todas las tareas coordinativas, menos en la Tarea 5 (carrera de slalom) en la que el grupo atletismo obtuvo mejores puntuaciones.

 Test de velocidad y agilidad-coordinación shuttle run 4x10

En el caso de este test, se obtienen resultados similares que en el apartado anterior, siendo el grupo control el que presenta las puntuaciones más bajas. El grupo de fútbol es el que ha obtenido mejores resultados.

Test de flexibilidad Sit and Reach

Nuestros resultados nos indican que los escolares del grupo de atletismo han obtenido los mejores niveles de flexibilidad y que los niños que practicaban fútbol obtuvieron los resultados más bajos, incluso que los obtenidos por el grupo control. Zuil et al. (2004), expusieron en su estudio la relación entre el fútbol y el acortamiento del músculo isquiotibial.  

Existen trabajos con resultados similares, Fernández et al. (2011) afirmaron que presentan mayor flexibilidad los sujetos sedentarios que los deportistas. Otros estudios como Turrado (2017) y Arregui y Martínez (2001), apuntan justamente lo contrario, los alumnos deportistas obtenían mejores resultados que los sedentarios. Estos resultados contradictorios, podrían ser debidos por la modalidad deportiva de estudio, el género de la muestra o a la metodología utilizada en las diferentes escuelas deportivas, debido a que en ocasiones no se trabaja la flexibilidad de forma específica.

Autores como Caro (2012) manifiestan lo perjudicial que podrían ser los bajos niveles de flexibilidad para la prevención de posibles lesiones deportivas.

REFERENCIAS

Arregui Eraña, J.A. & Martínez de Haro, V. (2001). Estado actual de las investigaciones sobre la flexibilidad en la adolescencia. Revista Internacional de Medicina y Ciencias de la Actividad Física y el Deporte, 1 (2),127-135.

Caro Muñoz, O. (2012). La musculatura isquiotibial en el fútbol: la lesión del bíceps femoral. Revista Internacional de Deportes Colectivos, (11), 18-44.

Castro-Piñero, J., Chillón, P., Ortega, F. B., Montesinos, J. L., Sjöström, M., & Ruiz, J. R. (2009). Criterion-related validity of sit-and-reach and modified sit-and-reach test for estimating hamstring flexibility in children and adolescents aged 6–17 years. International journal of sports medicine, 30(09), 658-662.

Cenizo-Benjumea, J. M., Revelo-Afonso, J., Ferreras-Mencía, S., & Gálvez-González, J. (2019). Diferencias de Género en el Desarrollo de la Coordinación Motriz en Niños de 6 a 11 Años.

Cenizo Benjumea, J. M., Ravelo Afonso, J., Morilla Pineda, S., & Fernández Truan, J. C. (2017). Motor Coordination Test 3JS: Assessing and analyzing its implementation RETOS. Nuevas Tendencias en Educación Física, Deporte y Recreación, 32, 189-193.

Fernández Rodríguez, E., Merino Marbán, R., Romero Ramos, O., Mayorga Vega, D., & Burgueño Mengibar, R. (2011). Deportes extraescolares y flexibilidad en alumnos de primaria. TRANCES. Transmisión del Conocimiento Educativo y de la Salud, (6), 695-712.

López-Miñarro, P. Á., Ibarra, A. G., & García, P. L. R. (2010). Comparación entre diferentes test lineales de medición de la extensibilidad isquiosural. Apunts Educación Física y Deportes, (99), 56-64.

Ortega, F. B., Artero, E. G., Ruiz, J. R., España-Romero, V., Jiménez-Pavón, D., Vicente-Rodríguez, G., Moreno, L. A., Manios, Y., Beghin, L., Ottevaere, C., Ciarapica, D., Sarri, K., Dietrich, S., Blair, S. N., Kersting, M., Molnar, D., Gonzalez-Gross, M., Gutierrez, A., Sjostrom, M., & Castillo, M. J. (2011). Physical fitness levels among European adolescents: the HELENA study. British journal of sports medicine, 45(1), 20-29.

Ruíz, J. R., España Romero, V., Castro Piñero, J., Artero, E. G., Ortega, F. B., Cuenca García, M., Jiménez Pavón D., Chillón P., Girela Rejón M.J., Mora J., Gutiérrez A., Suni J., Sjöstrom M, & Castillo, M. J. (2011). Batería ALPHA-Fitness: test de campo para la evaluación de la condición física relacionada con la salud en niños y adolescentes. Nutrición Hospitalaria, 26(6), 1210-1214.

Salas Guevara, M. F., & Giraldo Toro, A. F. (2018). Efecto de un programa de entrenamiento propioceptivo sobre las capacidades coordinativas en fútbol femenino de formación de 10-15 años del Club Besser.

Torres, M. A. (2005). Enciclopedia de la Educación Física y el Deporte. Barcelona: Ediciones del Serbal.

Turrado Hernán, R. (2017). Factores que afectan a la flexibilidad de los alumnos de Educación Primaria: análisis de un centro educativo. (Trabajo de fin de grado). Universidad de Valladolid. España.

Vicente-Rodríguez, G., Rey-López, J. P., Ruíz, J.R., Jiménez-Pavón, D., Bergman, P., Ciarapica, D., Heredia, J.M., Molnar, D., Gutierrez, A., Moreno, L.A., & Ortega, F.B. (2011). Interrater reliability and time measurement validity of speed–agility field tests in adolescents. The Journal of Strength & Conditioning Research, 25(7), 2059-2063.

Zuil Escobar, J. C., Rodríguez Fernández, A.L., Martínez Cepa, C.B., & López Andrino, J. (2004). Estudio de la relación entre la práctica del fútbol y el acortamiento muscular. Fisioterapia26(6), 340-348.